二叉树中的最大路径和
题目介绍
路径 被定义为一条从树中任意节点出发,沿父节点-子节点连接,达到任意节点的序列。同一个节点在一条路径序列中 至多出现一次 。该路径 至少包含一个 节点,且不一定经过根节点。
路径和 是路径中各节点值的总和。
给你一个二叉树的根节点 root ,返回其 最大路径和 。
示例 1:

1 2 3
| 输入:root = [1,2,3] 输出:6 解释:最优路径是 2 -> 1 -> 3 ,路径和为 2 + 1 + 3 = 6
|
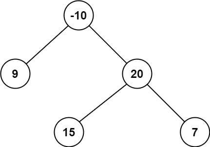
示例 2:

1 2 3
| 输入:root = [-10,9,20,null,null,15,7] 输出:42 解释:最优路径是 15 -> 20 -> 7 ,路径和为 15 + 20 + 7 = 42
|
提示:
- 树中节点数目范围是 [1,3∗104]
-1000 <= Node.val <= 1000
题目解法
1 2 3 4 5 6 7 8 9 10 11 12 13 14 15 16 17 18 19 20 21 22 23 24
| int max = Integer.MIN_VALUE; public int maxPathSum(TreeNode root) { maxGain(root); return max; }
private int maxGain (TreeNode root) { int gain; int maxPath; if (root == null) { return 0; } else if (root.left == null && root.right == null) { gain = maxPath = root.val; } else { int left = Math.max(0, maxGain(root.left)); int right = Math.max(0, maxGain(root.right)); maxPath = root.val + left +right; gain = root.val + Math.max(left, right); } if (maxPath > max) { max = maxPath; } return gain; }
|
打印:
思路:
思路上,需要想通父节点的作用,一个是给上面节点贡献值,一个是自己也有可能是某条路径最大值。