二叉树的最小深度
题目介绍
给定一个二叉树,找出其最小深度。
最小深度是从根节点到最近叶子节点的最短路径上的节点数量。
说明:叶子节点是指没有子节点的节点。
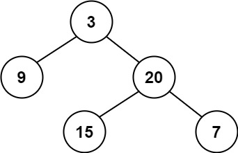
示例 1:

1 2
| 输入:root = [3,9,20,null,null,15,7] 输出:2
|
示例 2:
1 2
| 输入:root = [2,null,3,null,4,null,5,null,6] 输出:5
|
提示:
- 树中节点数的范围在 [0,105] 内
-1000 <= Node.val <= 1000
题目解法
1 2 3 4 5 6 7 8 9 10 11 12 13 14 15 16 17 18 19 20 21 22 23 24 25 26 27 28 29 30 31 32 33 34 35 36 37 38 39 40 41 42 43 44 45 46 47
| package algorithm;
public class MinimumDepthOfBinaryTree {
public int minDepth(TreeNode root) { if (root == null) { return 0; }
if (root.left == null && root.right == null) { return 1; }
int min_depth = Integer.MAX_VALUE; if (root.left != null) { min_depth = Math.min(minDepth(root.left), min_depth); } if (root.right != null) { min_depth = Math.min(minDepth(root.right), min_depth); }
return min_depth + 1; }
public static void main(String[] args) {
}
public class TreeNode { int val; TreeNode left; TreeNode right;
TreeNode() { }
TreeNode(int val) { this.val = val; }
TreeNode(int val, TreeNode left, TreeNode right) { this.val = val; this.left = left; this.right = right; } } }
|
打印:
思路:
思路上,递归调用分解问题。对于递归的理解需要加强。