BalancedBinaryTree

平衡二叉树

题目介绍

平衡二叉树

给定一个二叉树,判断它是否是高度平衡的二叉树。

本题中,一棵高度平衡二叉树定义为:

一个二叉树每个节点 的左右两个子树的高度差的绝对值不超过 1 。

示例 1:

img

1
2
输入:root = [3,9,20,null,null,15,7]
输出:true

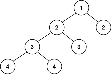
示例 2:

img

1
2
输入:root = [1,2,2,3,3,null,null,4,4]
输出:false

示例 3:

1
2
输入:root = []
输出:true

提示:

  • 树中的节点数在范围 [0, 5000]
  • −104<=Node.val<=104

题目解法

1
2
3
4
5
6
7
8
9
10
11
12
13
14
15
16
17
18
19
20
21
22
23
24
25
26
27
28
29
30
31
32
33
34
35
36
37
38
39
40
41
42
43
44
45
46
47
48
49
50
51
52
53
54
55
56
57
58
59
package algorithm;

public class BalancedBinaryTree {

public boolean isBalanced(TreeNode root) {
return dfs(root);
}

private boolean dfs(TreeNode root) {
if (root == null) {
return true;
}

int left = deep(root.left);
int right = deep(root.right);
if (Math.abs(left - right) > 1) {
return false;
}
if (!dfs(root.left)) {
return false;
}
if (!dfs(root.right)) {
return false;
}
return true;
}

private int deep(TreeNode root) {
if (root == null) {
return 0;
}
int left = deep(root.left) + 1;
int right = deep(root.right) + 1;
return Math.max(left, right);
}

public static void main(String[] args) {

}

public class TreeNode {
int val;
TreeNode left;
TreeNode right;

TreeNode() {
}

TreeNode(int val) {
this.val = val;
}

TreeNode(int val, TreeNode left, TreeNode right) {
this.val = val;
this.left = left;
this.right = right;
}
}
}

打印:

1

思路:

思路上,两次递归。先遍历,然后找出相应节点的深度。


BalancedBinaryTree
https://yangtzeshore.github.io/2021/07/19/BalancedBinaryTree/
作者
Chen Peng
发布于
2021年7月19日
许可协议