ConstructBinaryTreeFromPreorderAndInorderTraversal

从前序与中序遍历序列构造二叉树

题目介绍

从前序与中序遍历序列构造二叉树

给定一棵树的前序遍历 preorder 与中序遍历 inorder。请构造二叉树并返回其根节点。

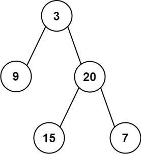
示例 1:

img

1
2
Input: preorder = [3,9,20,15,7], inorder = [9,3,15,20,7]
Output: [3,9,20,null,null,15,7]

示例 2:

1
2
Input: preorder = [-1], inorder = [-1]
Output: [-1]

提示:

  • 1 <= preorder.length <= 3000
  • inorder.length == preorder.length
  • -3000 <= preorder[i], inorder[i] <= 3000
  • preorderinorder 均无重复元素
  • inorder 均出现在 preorder
  • preorder 保证为二叉树的前序遍历序列
  • inorder 保证为二叉树的中序遍历序列

题目解法

1
2
3
4
5
6
7
8
9
10
11
12
13
14
15
16
17
18
19
20
21
22
23
24
25
26
27
28
29
30
31
32
33
34
35
36
37
38
39
40
41
42
43
44
45
46
47
48
49
50
51
52
53
54
55
56
57
58
59
60
61
62
63
64
65
66
67
68
package algorithm;

import java.util.HashMap;
import java.util.Map;

public class ConstructBinaryTreeFromPreorderAndInorderTraversal {

private Map<Integer, Integer> indexMap;

public TreeNode myBuildTree(int[] preorder, int[] inorder, int preorderLeft, int preorderRight,
int inorderLeft, int inorderRight) {
if (preorderLeft > preorderRight) {
return null;
}

// 前序遍历中的第一个节点就是根节点
int preorderRoot = preorderLeft;
// 在中序遍历中定位根节点
int inorderRoot = indexMap.get(preorder[preorderRoot]);

// 先把根节点建立出来
TreeNode root = new TreeNode(preorder[preorderRoot]);
// 得到左子树中的节点数目
int sizeLeftSubtree = inorderRoot - inorderLeft;
// 递归地构造左子树,并连接到根节点
// 先序遍历中「从 左边界+1 开始的 size_left_subtree」个元素就对应了中序遍历中「从 左边界 开始到 根节点定位-1」的元素
root.left = myBuildTree(preorder, inorder,preorderLeft + 1,
preorderLeft + sizeLeftSubtree, inorderLeft, inorderRoot - 1);
// 递归地构造右子树,并连接到根节点
// 先序遍历中「从 左边界+1+左子树节点数目 开始到 右边界」的元素就对应了中序遍历中「从 根节点定位+1 到 右边界」的元素
root.right = myBuildTree(preorder, inorder, preorderLeft + sizeLeftSubtree + 1,
preorderRight, inorderRoot + 1, inorderRight);
return root;
}

public TreeNode buildTree(int[] preorder, int[] inorder) {
int n = preorder.length;
// 构造哈希映射,帮助我们快速定位根节点
indexMap = new HashMap<>();
for (int i = 0; i < n; i++) {
indexMap.put(inorder[i], i);
}
return myBuildTree(preorder, inorder, 0, n - 1, 0, n - 1);
}

public static void main(String[] args) {

}

public class TreeNode {
int val;
TreeNode left;
TreeNode right;

TreeNode() {
}

TreeNode(int val) {
this.val = val;
}

TreeNode(int val, TreeNode left, TreeNode right) {
this.val = val;
this.left = left;
this.right = right;
}
}
}

打印:

1

思路:

思路上,寻找根的节点位置,利用节点值唯一的特性。然后,递归构造树结构。


ConstructBinaryTreeFromPreorderAndInorderTraversal
https://yangtzeshore.github.io/2021/07/14/ConstructBinaryTreeFromPreorderAndInorderTraversal/
作者
Chen Peng
发布于
2021年7月14日
许可协议