UniqueBinarySearchTrees
不同的二叉搜索树
题目介绍
不同的二叉搜索树
给你一个整数 n ,求恰由 n 个节点组成且节点值从 1 到 n 互不相同的 二叉搜索树 有多少种?返回满足题意的二叉搜索树的种数。
示例 1:

1 | |
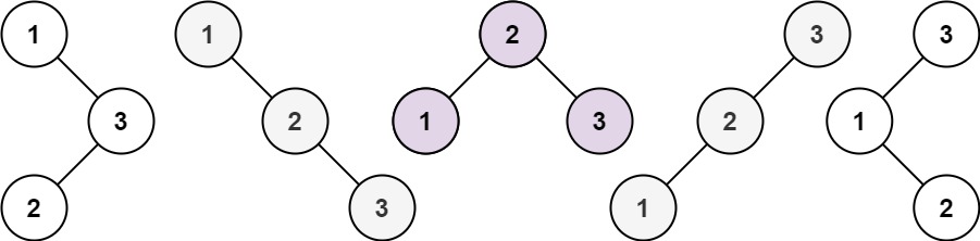
示例 2:
1 | |
提示:
1 <= n <= 19
题目解法
1 | |
打印:
1 | |
思路:
思路上,动态规划了。数学确实是工具,官方题解二的卡特兰数确实也厉害。
UniqueBinarySearchTrees
https://yangtzeshore.github.io/2021/07/01/UniqueBinarySearchTrees/