分隔链表
题目介绍
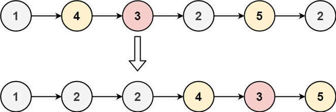
给你一个链表的头节点 head 和一个特定值 x ,请你对链表进行分隔,使得所有 小于 x 的节点都出现在 大于或等于 x 的节点之前。
你应当 保留 两个分区中每个节点的初始相对位置。
示例1:

1 2
| 输入:head = [1,4,3,2,5,2], x = 3 输出:[1,2,2,4,3,5]
|
示例 2:
1 2
| 输入:head = [2,1], x = 2 输出:[1,2]
|
提示:
- 链表中节点的数目在范围
[0, 200] 内
-100 <= Node.val <= 100
-200 <= x <= 200
题目解法
1 2 3 4 5 6 7 8 9 10 11 12 13 14 15 16 17 18 19 20 21 22 23 24 25 26 27 28 29 30 31 32 33 34 35 36 37 38 39 40 41 42 43 44 45 46 47 48 49 50 51 52 53 54 55 56 57 58 59 60 61 62 63 64 65 66 67 68 69 70 71
| package algorithm;
public class PartitionList {
public static ListNode partition(ListNode head, int x) { ListNode small = new ListNode(0); ListNode smallHead = small; ListNode large = new ListNode(0); ListNode largeHead = large; while (head != null) { if (head.val < x) { small.next = head; small = small.next; } else { large.next = head; large = large.next; } head = head.next; } large.next = null; small.next = largeHead.next; return smallHead.next; }
public static void main(String[] args) { ListNode node1 = new ListNode(1); ListNode node2 = new ListNode(4); node1.next = node2; ListNode node3 = new ListNode(3); node2.next = node3; ListNode node4 = new ListNode(2); node3.next = node4; ListNode node5 = new ListNode(5); node4.next = node5; ListNode node6 = new ListNode(2); node5.next = node6; node6.next = null; print(partition(node1, 3));
node1 = new ListNode(2); node2 = new ListNode(1); node1.next = node2; node2.next = null; print(partition(node1, 2)); }
private static void print(ListNode head) { while (head != null) { System.out.print(head.val + " "); head = head.next; } System.out.println(); }
public static class ListNode { int val; ListNode next;
ListNode() { }
ListNode(int val) { this.val = val; }
ListNode(int val, ListNode next) { this.val = val; this.next = next; } } }
|
打印:
思路:
思路上,双链表实在太巧妙了。