删除链表的倒数第 N 个结点
题目介绍
删除链表的倒数第 N 个结点
给你一个链表,删除链表的倒数第 n 个结点,并且返回链表的头结点。
进阶:你能尝试使用一趟扫描实现吗?
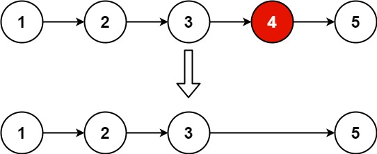
示例 1:

1 2
| 输入:head = [1,2,3,4,5], n = 2 输出:[1,2,3,5]
|
示例 2:
示例 3:
提示:
- 链表中结点的数目为
sz
1 <= sz <= 30
0 <= Node.val <= 100
1 <= n <= sz
题目解法
1 2 3 4 5 6 7 8 9 10 11 12 13 14 15 16 17 18 19 20 21 22 23 24 25 26 27 28 29 30 31 32 33 34 35 36 37 38 39 40 41 42 43 44 45 46 47 48 49 50 51 52 53 54 55 56 57 58 59 60 61 62 63 64 65 66 67 68 69 70 71 72 73 74 75 76 77 78 79 80 81 82 83 84 85
| package algorithm;
import java.util.HashMap; import java.util.Map;
public class RemoveNthNodeFromEndOfList {
public static ListNode removeNthFromEnd(ListNode head, int n) {
Map<Integer, ListNode> map = new HashMap<>(); int index = 0; ListNode cur = head; while (cur != null) { map.put(index, cur); index++; cur = cur.next; }
int addr = map.size() - n; if (addr == 0) { return map.get(addr).next; } else { ListNode prev = map.get(addr - 1); cur = map.get(addr); prev.next = cur.next; return map.get(0); } }
public static void main(String[] args) {
ListNode h1 = new ListNode(); h1.val = 1;
ListNode h2 = new ListNode(); h2.val = 2; h1.next = h2;
ListNode h3 = new ListNode(); h3.val = 3; h2.next = h3;
ListNode h4 = new ListNode(); h4.val = 4; h3.next = h4;
ListNode h5 = new ListNode(); h5.val = 5; h4.next = h5; print(removeNthFromEnd1(h1, 2));
h1.next = null; print(removeNthFromEnd1(h1, 1));
h1.next = h2; h2.next = null; print(removeNthFromEnd1(h1, 1)); }
private static void print(ListNode head) { while (head != null) { System.out.print(head.val); head = head.next; } System.out.println(); } }
class ListNode { int val; ListNode next;
ListNode() { }
ListNode(int val) { this.val = val; }
ListNode(int val, ListNode next) { this.val = val; this.next = next; } }
|
打印:
思路:
就是用存储获取位置。然后发现提交的效率不高,参考了官方的解题思路,又写了一版,这道题应该是不难的。
1 2 3 4 5 6 7 8 9 10 11 12 13 14 15 16 17 18 19 20 21 22 23 24
| public static ListNode removeNthFromEnd1(ListNode head, int n) {
if (n == 0) { return head; } if (head.next == null) { return null; } ListNode first = new ListNode(0, head); ListNode second = first; ListNode lamd = first; int count = 0; while (first.next != null) { count++; first = first.next; if (count > n) {
second = second.next; } } second.next = second.next.next;
return lamd.next; }
|
思路:
就是两个指针,一个提前n个位置去右移。