题目介绍
求根节点到叶节点数字之和
给你一个二叉树的根节点 root ,树中每个节点都存放有一个 0 到 9 之间的数字。
每条从根节点到叶节点的路径都代表一个数字:
- 例如,从根节点到叶节点的路径
1 -> 2 -> 3 表示数字 123 。
计算从根节点到叶节点生成的 所有数字之和 。
叶节点 是指没有子节点的节点。
示例 1:

1 2 3 4 5 6
| 输入:root = [1,2,3] 输出:25 解释: 从根到叶子节点路径 1->2 代表数字 12 从根到叶子节点路径 1->3 代表数字 13 因此,数字总和 = 12 + 13 = 25
|
示例 2:

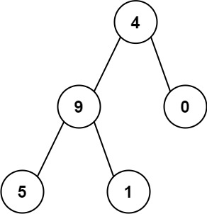
1 2 3 4 5 6 7
| 输入:root = [4,9,0,5,1] 输出:1026 解释: 从根到叶子节点路径 4->9->5 代表数字 495 从根到叶子节点路径 4->9->1 代表数字 491 从根到叶子节点路径 4->0 代表数字 40 因此,数字总和 = 495 + 491 + 40 = 1026
|
提示:
- 树中节点的数目在范围
[1, 1000] 内
0 <= Node.val <= 9
- 树的深度不超过
10
题目解法
1 2 3 4 5 6 7 8 9 10 11 12 13 14 15 16 17 18 19 20 21
| int result = 0; public int sumNumbers(TreeNode root) {
result = 0; dfs(root, 0); return result; }
private void dfs(TreeNode root, int cur) {
if (root.left == null && root.right == null) { result += cur * 10 + root.val; return; } if (root.left != null){ dfs(root.left, cur * 10 + root.val); } if (root.right != null) { dfs(root.right, cur * 10 + root.val); } }
|
打印:
思路:
思路上,就是简单的dfs。