二叉树展开为链表
题目介绍
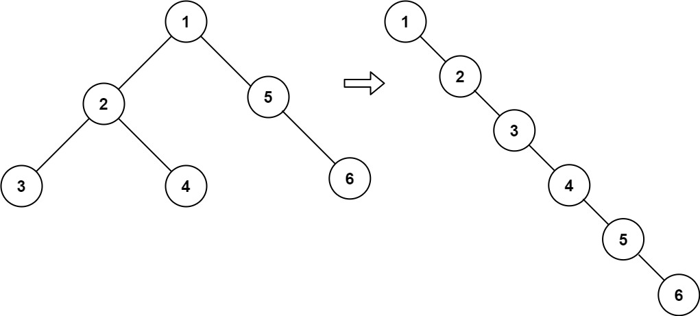
给你二叉树的根结点 root ,请你将它展开为一个单链表:
- 展开后的单链表应该同样使用
TreeNode ,其中 right 子指针指向链表中下一个结点,而左子指针始终为 null 。
- 展开后的单链表应该与二叉树 先序遍历 顺序相同。
示例 1:

1 2
| 输入:root = [1,2,5,3,4,null,6] 输出:[1,null,2,null,3,null,4,null,5,null,6]
|
示例 2:
示例 3:
提示:
- 树中结点数在范围
[0, 2000] 内
-100 <= Node.val <= 100
题目解法
1 2 3 4 5 6 7 8 9 10 11 12 13 14 15 16 17 18 19 20 21 22 23 24 25 26 27 28 29 30 31 32 33 34 35 36 37 38 39 40 41 42 43 44 45 46 47 48 49 50 51 52 53 54 55 56 57 58 59 60 61 62 63 64 65 66 67 68 69
| package algorithm;
import java.util.LinkedList; import java.util.Queue;
public class FlattenBinaryTreeToLinkedList {
static Queue<TreeNode> queue = new LinkedList<>();
public static void flatten(TreeNode root) { queue.clear(); dfs(root); TreeNode lamb = new TreeNode(); while (queue.size() >= 1) { TreeNode node = queue.poll(); node.left = null; node.right = null; lamb.right = node; lamb = lamb.right; } System.out.println(); }
private static void dfs(TreeNode root) { if (root == null) { return; } queue.offer(root); dfs(root.left); dfs(root.right); }
public static void main(String[] args) {
TreeNode n1 = new TreeNode(1); TreeNode n2 = new TreeNode(2); n1.left = n2; TreeNode n3 = new TreeNode(5); n1.right = n3; TreeNode n4 = new TreeNode(3); n2.left = n4; TreeNode n5 = new TreeNode(4); n2.right = n5; TreeNode n6 = new TreeNode(6); n3.right = n6;
flatten(n1); }
public static class TreeNode { int val; TreeNode left; TreeNode right;
TreeNode() { }
TreeNode(int val) { this.val = val; }
TreeNode(int val, TreeNode left, TreeNode right) { this.val = val; this.left = left; this.right = right; } } }
|
打印:
思路:
思路上,很简单。效率当然也是一般。后续有时间可以优化一下思路。