将有序数组转换为二叉搜索树
题目介绍
给你一个整数数组 nums ,其中元素已经按 升序 排列,请你将其转换为一棵 高度平衡 二叉搜索树。
高度平衡 二叉树是一棵满足「每个节点的左右两个子树的高度差的绝对值不超过 1 」的二叉树。
示例 1:

1 2 3
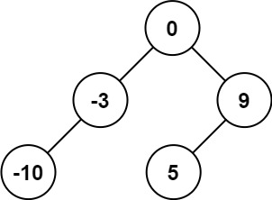
| 输入:nums = [-10,-3,0,5,9] 输出:[0,-3,9,-10,null,5] 解释:[0,-10,5,null,-3,null,9] 也将被视为正确答案:
|

示例 2:

1 2 3
| 输入:nums = 输出: 解释: 和 都是高度平衡二叉搜索树。
|
提示:
- 1<=nums.length<=104
- −104<=nums[i]<=104
nums 按 严格递增 顺序排列
题目解法
1 2 3 4 5 6 7 8 9 10 11 12 13 14 15 16 17 18 19 20 21 22 23 24 25 26 27 28 29 30 31 32 33 34 35 36 37 38 39 40 41 42 43 44 45
| package algorithm;
public class ConvertSortedArrayToBinarySearchTree {
public TreeNode sortedArrayToBST(int[] nums) {
int n = nums.length; return dfs(nums, 0, n - 1); }
private TreeNode dfs(int[] nums, int left, int right) { if (left > right) { return null; } int mid = (left +right) / 2; int root = nums[mid]; TreeNode node = new TreeNode(root); node.left = dfs(nums, left, mid - 1); node.right = dfs(nums, mid +1, right); return node; }
public static void main(String[] args) {
}
public class TreeNode { int val; TreeNode left; TreeNode right;
TreeNode() { }
TreeNode(int val) { this.val = val; }
TreeNode(int val, TreeNode left, TreeNode right) { this.val = val; this.left = left; this.right = right; } } }
|
打印:
思路:
思路上,其实借鉴了之前的算法题。也很简单,如果是用递归的话。