恢复二叉搜索树
题目介绍
给你二叉搜索树的根节点 root ,该树中的两个节点被错误地交换。请在不改变其结构的情况下,恢复这棵树。
进阶:使用 O(n) 空间复杂度的解法很容易实现。你能想出一个只使用常数空间的解决方案吗?
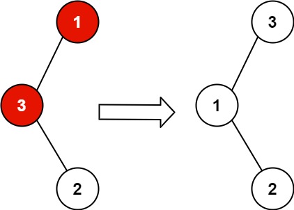
示例 1:

1 2 3
| 输入:root = [1,3,null,null,2] 输出:[3,1,null,null,2] 解释:3 不能是 1 左孩子,因为 3 > 1 。交换 1 和 3 使二叉搜索树有效。
|
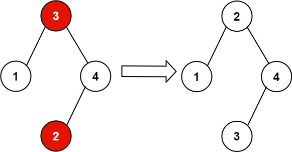
示例 2:

1 2 3
| 输入:root = [3,1,4,null,null,2] 输出:[2,1,4,null,null,3] 解释:2 不能在 3 的右子树中,因为 2 < 3 。交换 2 和 3 使二叉搜索树有效。
|
题目解法
1 2 3 4 5 6 7 8 9 10 11 12 13 14 15 16 17 18 19 20 21 22 23 24 25 26 27 28 29 30 31 32 33 34 35 36 37 38 39 40 41 42 43 44 45 46 47 48 49 50 51 52 53 54 55 56 57 58 59 60 61 62 63 64 65 66 67 68 69 70 71 72 73 74 75
| package algorithm;
public class RecoverBinarySearchTree {
public void recoverTree(TreeNode root) {
TreeNode x = null, y = null, pred = null, predecessor;
while (root != null) { if (root.left != null) { predecessor = root.left; while (predecessor.right != null && predecessor.right != root) { predecessor = predecessor.right; }
if (predecessor.right == null) { predecessor.right = root; root = root.left; } else { if (pred != null && root.val < pred.val) { y = root; if (x == null) { x = pred; } } pred = root;
predecessor.right = null; root = root.right; } } else { if (pred != null && root.val < pred.val) { y = root; if (x == null) { x = pred; } } pred = root; root = root.right; } } swap(x, y); }
public void swap(TreeNode x, TreeNode y) { int tmp = x.val; x.val = y.val; y.val = tmp; }
public static class TreeNode { int val; TreeNode left; TreeNode right;
TreeNode() { }
TreeNode(int val) { this.val = val; }
TreeNode(int val, TreeNode left, TreeNode right) { this.val = val; this.left = left; this.right = right; } } }
|
打印:
思路:
思路上,可定都会想到中序遍历了,无论是递归还是非递归都是不会常数空间复杂度的。morris遍历,是进阶题解的方法。目前对于Morris算法不是和熟悉,需要多联系。