二叉树的中序遍历
题目介绍
给定一个二叉树的根节点 root ,返回它的 中序 遍历。
示例 1:

示例 2:
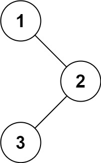
示例 3:
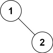
示例 4:

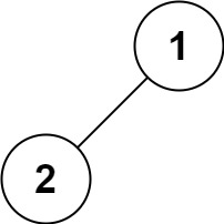
示例 5:

提示:
- 树中节点数目在范围
[0, 100] 内
-100 <= Node.val <= 100
题目解法
1 2 3 4 5 6 7 8 9 10 11 12 13 14 15 16 17 18 19 20 21 22 23 24 25 26 27 28 29 30 31 32 33 34 35 36 37 38 39 40 41 42 43 44 45 46 47 48 49 50 51 52 53 54 55 56 57 58 59 60 61 62 63 64 65 66 67 68 69 70 71 72 73
| package algorithm;
import java.util.ArrayList; import java.util.Arrays; import java.util.List;
public class BinaryTreeInorderTraversal {
static List<Integer> ans = new ArrayList<>(); public static List<Integer> inorderTraversal(TreeNode root) { dfs(root); return ans; }
private static void dfs(TreeNode root) { if (root == null) { return; } dfs(root.left); ans.add(root.val); dfs(root.right); }
public static void main(String[] args) { TreeNode n1 = new TreeNode(1); TreeNode n2 = new TreeNode(2); n1.left = null; n1.right = n2; TreeNode n3 = new TreeNode(3); n2.left = n3; System.out.println(Arrays.toString(inorderTraversal(n1).toArray())); ans.clear();
TreeNode n4 = null; System.out.println(Arrays.toString(inorderTraversal(n4).toArray())); ans.clear();
TreeNode n5 = new TreeNode(1); System.out.println(Arrays.toString(inorderTraversal(n5).toArray())); ans.clear();
TreeNode n6 = new TreeNode(1); TreeNode n7 = new TreeNode((2)); n6.left = n7; System.out.println(Arrays.toString(inorderTraversal(n6).toArray())); ans.clear();
TreeNode n8 = new TreeNode(1); TreeNode n9 = new TreeNode(2); n8.right = n9; System.out.println(Arrays.toString(inorderTraversal(n8).toArray())); ans.clear(); }
static class TreeNode { int val; TreeNode left; TreeNode right;
TreeNode() { }
TreeNode(int val) { this.val = val; }
TreeNode(int val, TreeNode left, TreeNode right) { this.val = val; this.left = left; this.right = right; } } }
|
打印:
1 2 3 4 5
| [1, 3, 2] [] [1] [2, 1] [1, 2]
|
思路:
思路上,太简单了。我决定下次面试的时候,让候选者写一个。确实不难,而且也能判断这个人是否写过代码。