反转链表 II
题目介绍
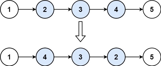
给你单链表的头指针 head 和两个整数 left 和 right ,其中 left <= right 。请你反转从位置 left 到位置 right 的链表节点,返回 反转后的链表 。
示例1:

1 2
| 输入:head = [1,2,3,4,5], left = 2, right = 4 输出:[1,4,3,2,5]
|
示例 2:
1 2
| 输入:head = [5], left = 1, right = 1 输出:[5]
|
提示:
- 链表中节点数目为
n
1 <= n <= 500
-500 <= Node.val <= 500
1 <= left <= right <= n
题目解法
1 2 3 4 5 6 7 8 9 10 11 12 13 14 15 16 17 18 19 20 21 22 23 24 25 26 27 28 29 30 31 32 33 34 35 36 37 38 39 40 41 42 43 44 45 46 47 48 49 50 51 52 53 54 55 56 57 58 59 60 61 62 63 64 65 66 67
| package algorithm;
public class ReverseLinkedListII {
public static ListNode reverseBetween(ListNode head, int left, int right) {
ListNode dummyNode = new ListNode(-1); dummyNode.next = head; ListNode pre = dummyNode; for (int i = 0; i < left - 1; i++) { pre = pre.next; } ListNode cur = pre.next; ListNode next; for (int i = 0; i < right - left; i++) { next = cur.next; cur.next = next.next; next.next = pre.next; pre.next = next; } return dummyNode.next; }
public static void main(String[] args) {
ListNode n1 = new ListNode(1); ListNode n2 = new ListNode(2); n1.next = n2; ListNode n3 = new ListNode(3); n2.next = n3; ListNode n4 = new ListNode(4); n3.next = n4; ListNode n5 = new ListNode(5); n4.next = n5;
print(reverseBetween(n1, 2, 4));
n1 = new ListNode(5); print(reverseBetween(n1, 1, 1)); }
public static class ListNode { int val; ListNode next;
ListNode() { }
ListNode(int val) { this.val = val; }
ListNode(int val, ListNode next) { this.val = val; this.next = next; } }
private static void print(ListNode head) { while (head != null) { System.out.print(head.val + "->"); head = head.next; } System.out.println(); } }
|
打印:
思路:
思路上,虽然想的差不多,但是做出来,还是差的很远。尤其是,如果不切断链条,可能是出现环或者不好拼接。官方给出的解法二,三个指针,不断的将后续的节点往前抛,确实很厉害。