分布式系统设计——2. 接口请求顺序性
分布式系统设计——2. 接口请求顺序性
前言
这篇文章取自这篇博客,作为整理和收录,方便后续查阅。
其实分布式系统接口的调用顺序,也是个问题,一般来说是不用保证顺序的。但是有时候可能确实是需要严格的顺序保证。给大家举个例子,你服务 A 调用服务 B,先插入再删除。好,结果俩请求过去了,落在不同机器上,可能插入请求因为某些原因执行慢了一些,导致删除请求先执行了,此时因为没数据所以啥效果也没有;结果这个时候插入请求过来了,好,数据插入进去了,那就尴尬了。
本来应该是 “先插入 -> 再删除”,这条数据应该没了,结果现在 “先删除 -> 再插入”,数据还存在,最后你死都想不明白是怎么回事。
所以这都是分布式系统一些很常见的问题。
首先,一般来说,个人建议是,你们从业务逻辑上设计的这个系统最好是不需要这种顺序性的保证,因为一旦引入顺序性保障,比如使用分布式锁,会导致系统复杂度上升,而且会带来效率低下,热点数据压力过大等问题。
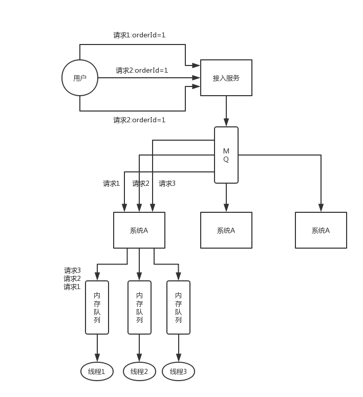
下面我给个我们用过的方案吧,简单来说,首先你得用 Dubbo 的一致性 hash 负载均衡策略,将比如某一个订单 id 对应的请求都给分发到某个机器上去,接着就是在那个机器上,因为可能还是多线程并发执行的,你可能得立即将某个订单 id 对应的请求扔一个内存队列里去,强制排队,这样来确保他们的顺序性。
但是这样引发的后续问题就很多,比如说要是某个订单对应的请求特别多,造成某台机器成热点怎么办?解决这些问题又要开启后续一连串的复杂技术方案…… 曾经这类问题弄的我们头疼不已,所以,还是建议什么呢?
最好是比如说刚才那种,一个订单的插入和删除操作,能不能合并成一个操作,就是一个删除,或者是其它什么,避免这种问题的产生。
参考文章
分布式系统设计——2. 接口请求顺序性
https://yangtzeshore.github.io/2020/10/25/分布式系统设计——2. 接口请求顺序性/
